近日,我校电气学院陈利娟老师作为第一作者和通讯作者,我校作为第一单位和通讯单位,与上海理工大学、电子科技大学、四川大学、德国汉堡大学德国国家工程院院士团队合作在国际知名期刊NEUROCOMPUTING和NEURAL NETWORKS上连续发表题为“State estimation for memristive neural networks with mixed time varying delays via multiple integral equality”和“Semantic consistency learning on manifold for source data-free unsupervised domain adaptation”的学术研究论文。NEUROCOMPUTING(IF=5.779)和NEURAL NETWORKS(IF=9.657)在神经网络和人工智能领域具有很高的学术声誉。

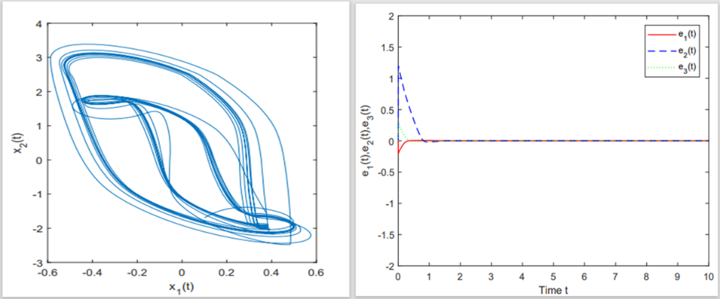
基于忆阻器的神经网络具有低功耗、高度可扩展、高度可适应等特点,对于突破当前基于“冯·诺依曼”架构的神经网络计算瓶颈具有重要意义。作为忆阻神经网络中的典型特征,时滞是造成系统不稳定的关键因素之一。针对该问题,陈利娟老师提出了混合时滞的忆阻神经网络状态估计问题,研究混合时滞忆阻神经网络保守性,通过非脆弱状态估计,建立基于估计误差的系统渐近稳定充分条件,提供了保守性判定的理论依据,为忆阻交叉阵列等真实忆阻神经网络的设计提供了理论指导。

此外,针对无源无监督领域自适应这一热点迁移学习问题,提出了一种基于流形语义一致性的深度学习方法。该方法通过挖掘隐藏在数据流形中的具有语义关联的几何约束关系,有效克服了目标领域语义标签缺失,实现了基于自监督学习的模型迁移,在开源的标准数据上,取得了SOTA的性能。由于并不需要源领域的任何数据,该方法在涉及隐私保护、信息安全的人工智能应用中具有独特优势。
以上两项工作陈利娟老师均依托欧冠官方网站入口博士科研启动基金完成。(电气学院供稿)
论文链接:https://doi.org/10.1016/j.neucom.2022.06.044
https://doi.org/10.1016/j.neunet.2022.05.015
